A primeira etapa da Fuvest 2026, vestibular que seleciona estudantes para a Universidade de São Paulo (USP), foi aplicada neste domingo (23) e reuniu mais de 100 mil inscritos. O exame é considerado um dos mais concorridos do país e segue como porta de entrada para cursos de alta demanda, como Medicina.
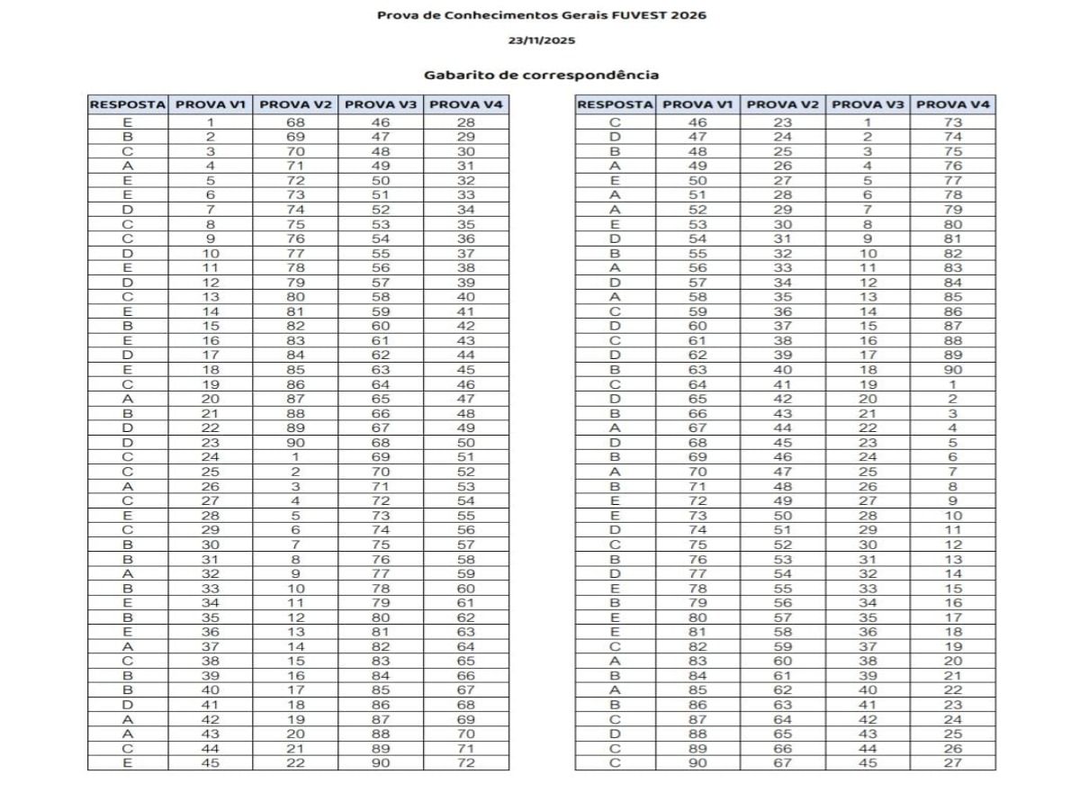
A organização já divulgou o gabarito oficial, que está disponível no site da Fuvest, veja abaixo:
Siga a TMC no WhatsApp e fique por dentro das últimas notícias do Brasil e do mundo.


Quantas vagas estão em disputa?
Segundo a própria universidade, são oferecidas 8.147 vagas em cursos de graduação para 2026. O curso de Medicina continua sendo o mais concorrido, com 90,7 candidatos por vaga, reforçando a necessidade de preparação intensa.
Leia mais: USP abre processo seletivo para inscrições via Enem 2025; veja como se inscrever
Como foi a prova da primeira fase da FUVEST?
Os candidatos tiveram cinco horas para responder a 90 questões objetivas, cobrindo todas as disciplinas do Ensino Médio, como matemática, história, ciências da natureza e perguntas de raciocínio rápido. Essa etapa é eliminatória e define quem segue para a segunda fase.
Ainda segundo a organização, na edição deste ano, o exame trouxe um enfoque maior em temas atuais de caráter ambiental, social e econômico, refletindo debates que ganharam destaque nas redes. Entre os assuntos abordados estavam a crítica à CLT, a chamada “uberização do trabalho“, além da politização do carnaval.
A prova também incluiu uma questão relacionada a Caetano Veloso e explorou tópicos de relevância internacional, como a disputa territorial envolvendo a tentativa da Venezuela de anexar a região de Essequibo, na Guiana.
A taxa de abstenção também foi baixa, total de 9,17%.
Quais são os próximos passos?
A lista de convocados para a segunda fase será divulgada em 1º de dezembro de 2025. As provas dissertativas acontecem nos dias 14 e 15 de dezembro, enquanto as avaliações de habilidades específicas (como artes e música) estão previstas para 9 a 12 de dezembro.
Leia também: Vaga no SESI conta com salário de R$ 3,8 mil CLT; veja requisitos
Quando sai o resultado final da FUVEST?
O resultado final sai em 23 de janeiro de 2026.
Para você não esquecer: veja calendário completo da FUVEST 2026
- 1ª fase: 23/11
- Resultado da 1ª fase e local da 2ª: 01/12
- Provas de Competências Específicas: 09 a 12/12 e 05 a 09/01/2026
- 2ª fase: 14 e 15/12
- Resultado final: 23/01/2026
Leia ainda: Enem 2025: saiba como usar as notas individuais




